


2025年,济南市普通高中志愿填报指导线为460分。
报名考试情况
2025年济南市(不含莱芜区、钢城区)初中毕业年级学业水平考试(以下简称“中考”)报名参加考试共78018人;莱芜区、钢城区中考报名参加考试共10495人。
根据《关于印发济南市2025年初中学生毕业评价及学业水平考试实施意见的通知》(济教办〔2025〕3 号)规定,中考计分科目总分为660分。
招生计划
(一)济南市(不含莱芜区、钢城区)
1
普通高中
普通高中类招生指导计划共计49678人。
2
职业教育
职业教育类招生(指导)计划共计46648人,其中:
(1)初中后高等职业教育招生计划共计6723人。包括“3+4”高等职业教育本科计划74人、五年制高等职业教育计划240人、“三二”连读高等职业教育计划1732人、联办五年制高等职业教育计划4677人。
(2)中等职业学校招生指导计划共计39925人。包含中专招生指导计划11235人、市属技工院校招生指导计划28690人。
(二)莱芜区、钢城区
1
普通高中
普通高中类招生指导计划共计7375人。
2
职业教育
职业教育类招生(指导)计划共计4027人,其中:
(1)初中后高等职业教育招生计划共计737人。包括五年制高等职业教育计划103人、“三二”连读高等职业教育计划614人、联办五年制高等职业教育计划20人。
(2)中等职业学校招生指导计划共计3290人。包含中专招生指导计划2240人、技工学校招生指导计划1060人。
各类一分一段表
↓↓
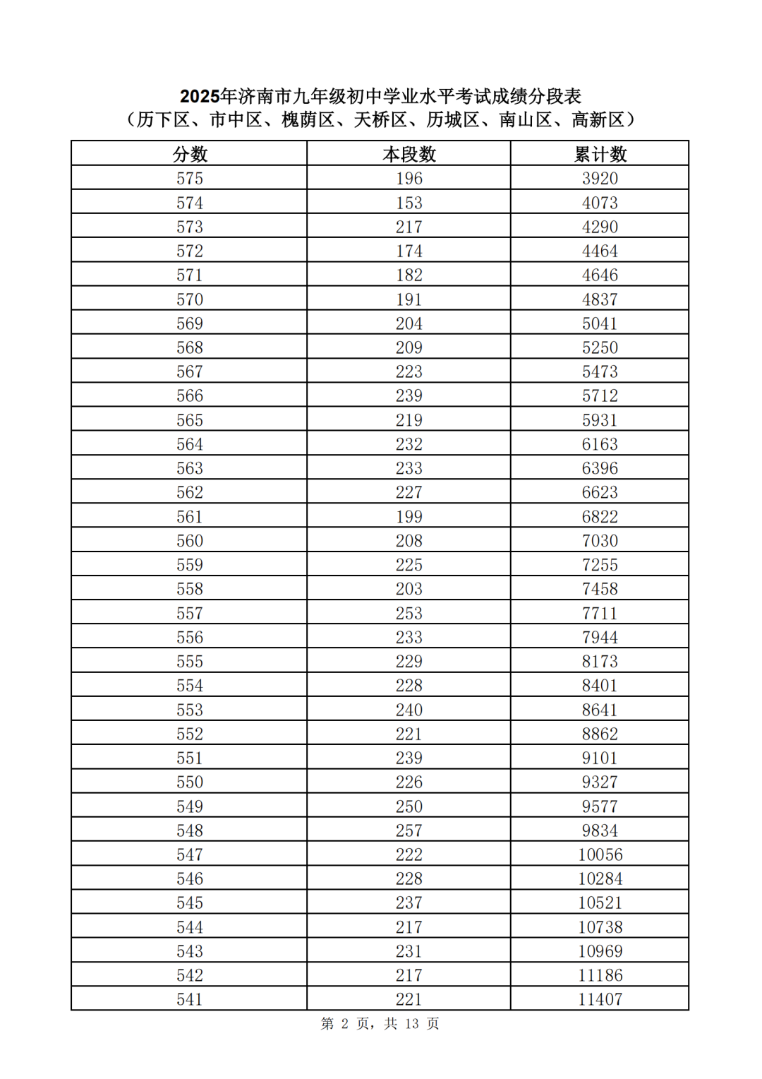
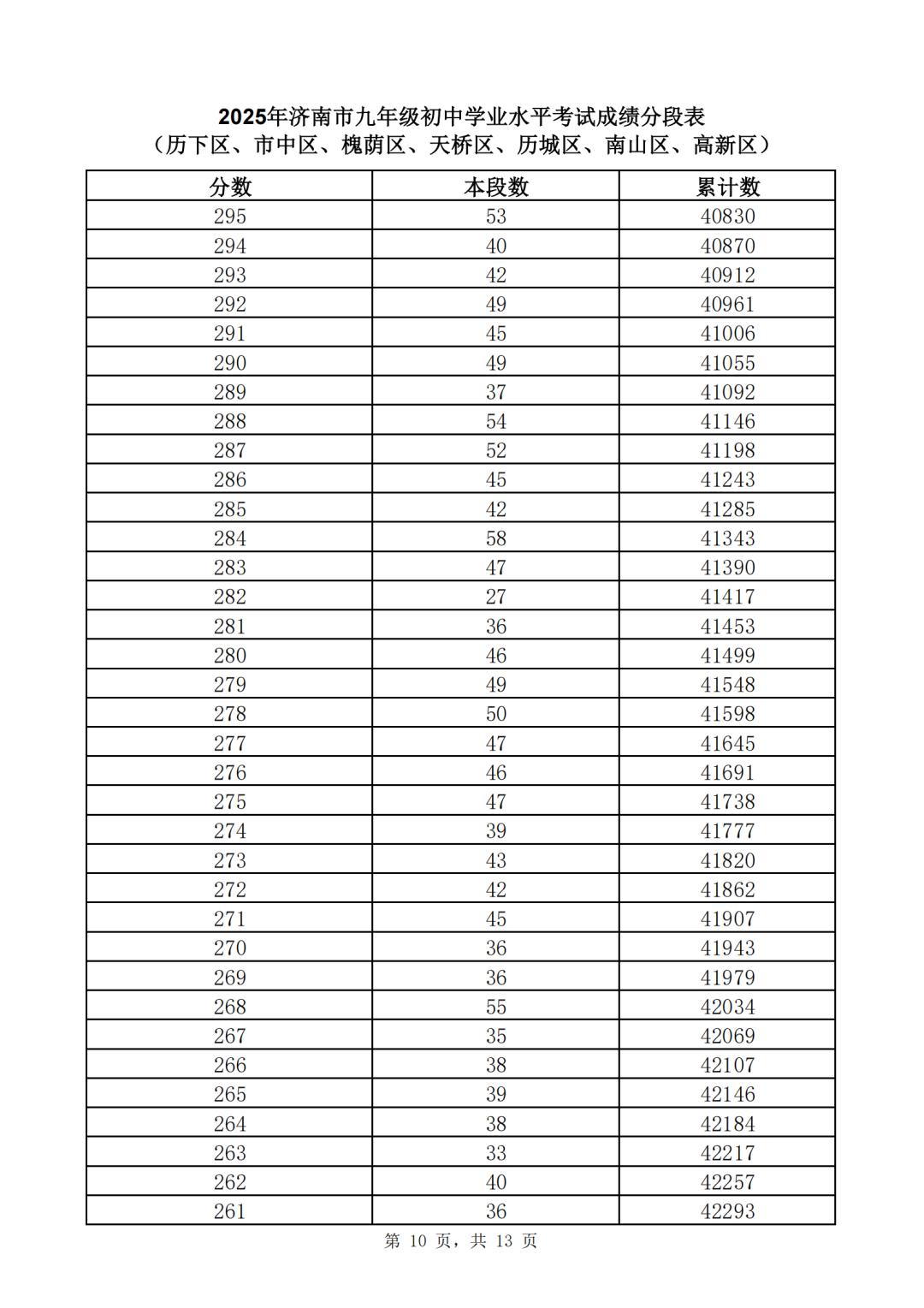
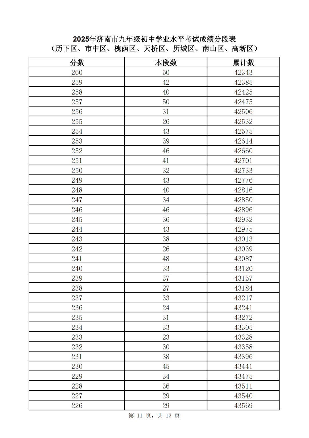
全市(不含莱芜区、钢城区)














全市七区













莱芜区、钢城区














注:上述招考资讯以济南市教育招生考试院官方网站发布内容为准。
来源:“济南市教育局”公众号、新黄河客户端 记者史春勇