29日下午,省教育招生考试院公布了山东省2023年普通高等教育专升本考试录取去向查询,查询网址:
https://www.sdzk.cn。
同时,省招考院还公布了普通专升本投档情况统计表,包括校荐生批次和建档立卡家庭考生批次。
考生可点击下方二维码查询结果
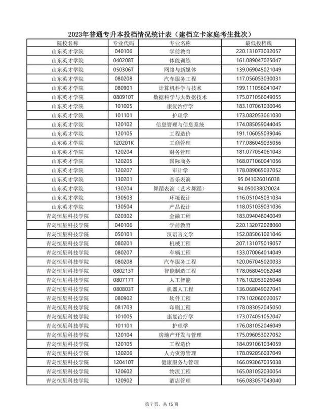
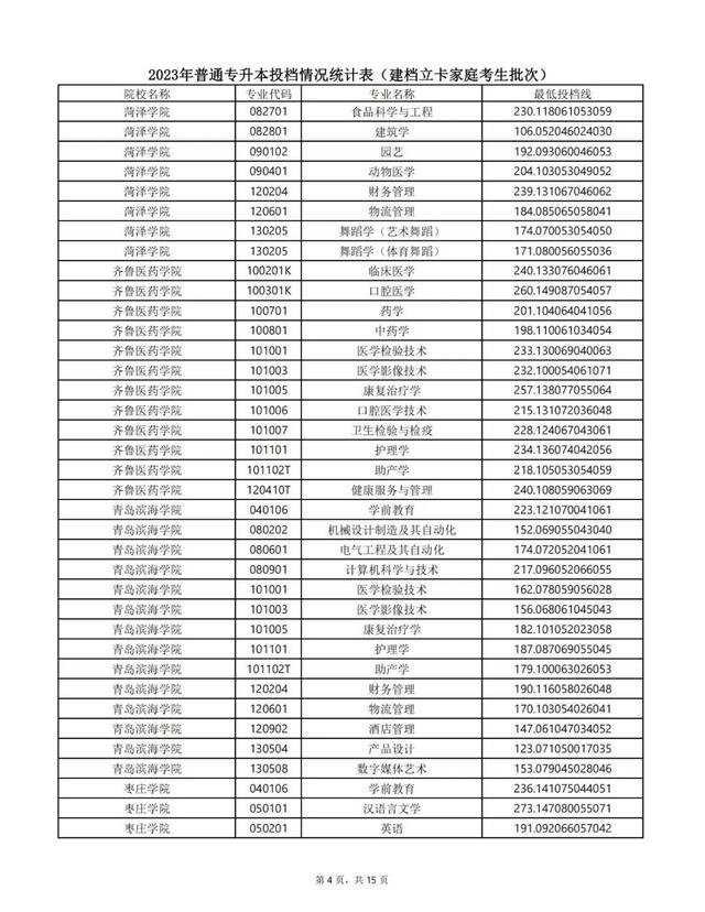
2023年普通专升本投档情况统计表
(校荐生批次)
(建档立卡家庭考生批次)
来源:山东省教育招生考试院
凰家体验官探游兰州新区
集采“反内卷” 我们能对药品更放心吗?
不只是“多了两个假” 中国多地推行中小学春秋假
中国多地滑雪场提前“开板” 周边酒店订单走俏
科创合肥:澎湃创新动能
31省份工业盈亏图鉴 谁赚到钱了?
“鸡排哥”全国“巡炸”南昌站 有游客排队三小时
“300元以下难购真羽绒服”?
武汉一高校发起捐赠1000元冠名座椅活动
山东海阳核电3号机组核岛大型模块吊装完成
中国车企扎堆海外建厂
居延遗址新发现青铜时代遗存
河南开封:大宋“百戏”引游人